... d\'eg\'en\'er\'es1.1
On parle de gaz dégénéré lorsque la densité d'états quantiques possibles est égale à la densité de particules, qui les occupent donc tous. Une pression quantique s'oppose alors à toute contraction.
.
.
.
.
.
.
.
.
.
.
.
.
.
.
.
.
.
.
.
.
.
.
.
.
.
.
.
.
.
.
... m\'etaux1.2
les astronomes appellent métal tout élément plus lourd que l'Hélium : non primordial
.
.
.
.
.
.
.
.
.
.
.
.
.
.
.
.
.
.
.
.
.
.
.
.
.
.
.
.
.
.
... parallaxe1.3
qu'utilise notre cerveau pour voir en relief à partir des images fournies par chaque oeil
.
.
.
.
.
.
.
.
.
.
.
.
.
.
.
.
.
.
.
.
.
.
.
.
.
.
.
.
.
.
... l'ESO2.1
http://www.eso.org/observing/etc/
.
.
.
.
.
.
.
.
.
.
.
.
.
.
.
.
.
.
.
.
.
.
.
.
.
.
.
.
.
.
... lumineux2.2
on parle alors de réseau blazé
.
.
.
.
.
.
.
.
.
.
.
.
.
.
.
.
.
.
.
.
.
.
.
.
.
.
.
.
.
.
... th\`ese2.3
Spectroscopie des supernovæ à grand décalage vers le rouge (09/2004)
.
.
.
.
.
.
.
.
.
.
.
.
.
.
.
.
.
.
.
.
.
.
.
.
.
.
.
.
.
.
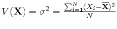
... variance3.1
Variance ou second moment centré : $ V(\mathbf{X}) = \sigma^2 =
\frac{ \sum_{i=1}^{N}(X_i - \overline{ \mathbf{X} })^2}{N} $ , avec $ \overline{ \mathbf{X} }=\frac{ \sum_{i=1}^{N} X_i}{N}
_{\overrightarrow{ N\! \rightarrow\! \infty} } \mu$ la moyenne de $ {\mathbf X}$ , et $ \sigma $ son écart-type.
.
.
.
.
.
.
.
.
.
.
.
.
.
.
.
.
.
.
.
.
.
.
.
.
.
.
.
.
.
.
... interpr\'et\'e3.2
C++ est un language compilé : un programme est traduit en assembleur dans un fichier directement executable par le processeur. Python est un language interprété : un programme est executé tel quel ligne par ligne par l'interpréteur Python, qui doit être installé sur le poste de calcul.
.
.
.
.
.
.
.
.
.
.
.
.
.
.
.
.
.
.
.
.
.
.
.
.
.
.
.
.
.
.
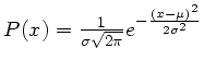
...normale3.3
``courbe en cloche'', ou Gaussienne, de densité de probabilité $ P(x)=\frac{1}{\sigma\sqrt{2\pi}}e^{-\frac{(x-\mu)^2}{2\sigma^2}}$ , pour une variable de moyenne $ \mu $ et d'écart-type $ \sigma $ .
.
.
.
.
.
.
.
.
.
.
.
.
.
.
.
.
.
.
.
.
.
.
.
.
.
.
.
.
.
.
... Poissonnienne3.4
Loi de Répartition Poissonienne de taux $ \mu $ := $ P(X_i=k) = \frac{\mu^k}{k!}e^{-\mu}$ .
.
.
.
.
.
.
.
.
.
.
.
.
.
.
.
.
.
.
.
.
.
.
.
.
.
.
.
.
.
.
... analyses3.5
On ne dispose de toutes façon pas, en mode service, des images de calibration permettant de l'estimer, très coûteuses en temps
.
.
.
.
.
.
.
.
.
.
.
.
.
.
.
.
.
.
.
.
.
.
.
.
.
.
.
.
.
.
... gain3.6
La réponse instrumentale inclut le gain de conversion, et est expimée en $ ADU/erg/cm^{-2}$
$ \left( \mathcal{R}=\frac{AT}{f} \frac{q [e^-/h\nu]}{g [e^-/ADU]}
\quad [ADU/h\nu] \right)$
.
.
.
.
.
.
.
.
.
.
.
.
.
.
.
.
.
.
.
.
.
.
.
.
.
.
.
.
.
.
... lecture3.7
La lecture des pixels peut se faire par 1 ou 4 ports (plus rapide, utilisé pour les pré-acquisitions de pointage), en groupant les pixels par paires, et avec un gain haut ou bas. Les images de science sont lues par 1 port, sans groupement, et avec le gain haut : CLOCK = A,1x1,high.
.
.
.
.
.
.
.
.
.
.
.
.
.
.
.
.
.
.
.
.
.
.
.
.
.
.
.
.
.
.
...blanche3.8
i.e. indépendante de $ \lambda $ , donc du couple fente/grisme, par opposition aux franges colorées.
.
.
.
.
.
.
.
.
.
.
.
.
.
.
.
.
.
.
.
.
.
.
.
.
.
.
.
.
.
.
...crénelage3.9
ou aliasing : apparition de signaux artificiels à des fréquences proches de celle du rééchantillonnage lorsque celui-ci ne respecte pas le critère de Shannon-Nyquist d'un pas inferieur à la moitié des plus petits détails du signal.
.
.
.
.
.
.
.
.
.
.
.
.
.
.
.
.
.
.
.
.
.
.
.
.
.
.
.
.
.
.
... FORS1+23.10
FORS1+2 User Manual [16] : www.eso.org/instruments/fors/doc/VLT-MAN-ESO-13100-1543_v77.pdf
.
.
.
.
.
.
.
.
.
.
.
.
.
.
.
.
.
.
.
.
.
.
.
.
.
.
.
.
.
.
... Kurzuc3.11
Dans MIDAS calib (disponible à ftphost.hq.eso.org/midaspub/calib) : sous midas/calib/data/spec/line/.
Dans IRAF (disponible à www.stecf.org/iraf/web/): sous /iraf/noao/lib/linelists/.
Kurucz Atomic Line Database: cfa-www.harvard.edu/amdata/ampdata/kurucz23/sekur.html
.
.
.
.
.
.
.
.
.
.
.
.
.
.
.
.
.
.
.
.
.
.
.
.
.
.
.
.
.
.
...lapack3.12
Linear Algrebra PACKage : www.netlib.org/lapack/
.
.
.
.
.
.
.
.
.
.
.
.
.
.
.
.
.
.
.
.
.
.
.
.
.
.
.
.
.
.
... standard3.13
disponible à www.eso.org/observing/standards/spectra/
.
.
.
.
.
.
.
.
.
.
.
.
.
.
.
.
.
.
.
.
.
.
.
.
.
.
.
.
.
.
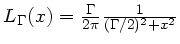
... Lorentzienne3.14
fonction Lorentzienne centrée de largeur à mi-hauteur $ \Gamma$ : $ L_{\Gamma}(x) = \frac{\Gamma}{2\pi}\frac{1}{(\Gamma/2)^2 + x^2}$
.
.
.
.
.
.
.
.
.
.
.
.
.
.
.
.
.
.
.
.
.
.
.
.
.
.
.
.
.
.
... proches3.15
voir le site des conditions météorologiques de Paranal :
http://archive.eso.org/asm/ambient-server?site=paranal.
Voir [15] pour une étude statistique des couches turbulences au dessus du Cerro Tololo.
.
.
.
.
.
.
.
.
.
.
.
.
.
.
.
.
.
.
.
.
.
.
.
.
.
.
.
.
.
.
... -moyen3.16
L'écart-type $ \bar{\sigma}$ de la somme des gaussiennes centrées d'écart-type $ \sigma_i$
.
.
.
.
.
.
.
.
.
.
.
.
.
.
.
.
.
.
.
.
.
.
.
.
.
.
.
.
.
.
... TERAPIX4.1
Traitement Élementaire, Réduction et Analyse des PIXels de megacam.
Voir http://terapix.iap.fr/
.
.
.
.
.
.
.
.
.
.
.
.
.
.
.
.
.
.
.
.
.
.
.
.
.
.
.
.
.
.
... (1941)4.2
Local structure of turbulence in incompressible fluid for very high Reynolds numbers.
AN Kolmogorov - Dokl. Akad. Nauk SSSR, 1941
Traduction : RSPSA vol. 434, no. 1890, July 8, 1991, p. 9-13
.
.
.
.
.
.
.
.
.
.
.
.
.
.
.
.
.
.
.
.
.
.
.
.
.
.
.
.
.
.
... atmosph\'erique4.3
Le chromatisme de la réfration atmosphérique, à l'origine de phénomènes tels que le rayon vert
.
.
.
.
.
.
.
.
.
.
.
.
.
.
.
.
.
.
.
.
.
.
.
.
.
.
.
.
.
.
... l'observation4.4
calculée comme $ X=\sum_{img}(X_{debut}+X_{fin})/(2 N_{img})$ , avec $ X_{debut}$ et $ X_{fin}$ pris dans les en-têtes : TEL AIRM START et END.
.
.
.
.
.
.
.
.
.
.
.
.
.
.
.
.
.
.
.
.
.
.
.
.
.
.
.
.
.
.
... \'equivalente4.5
La largeur qu'aurait la raie si elle absorbait tout le flux dans un intervalle de $ \lambda $ .
.
.
.
.
.
.
.
.
.
.
.
.
.
.
.
.
.
.
.
.
.
.
.
.
.
.
.
.
.
.
... exemple5.2
la base du logarithme ainsi que $ \lambda _0$ sont choisis arbitrairement à 10 et 5000 Å
.
.
.
.
.
.
.
.
.
.
.
.
.
.
.
.
.
.
.
.
.
.
.
.
.
.
.
.
.
.
... l'exponentielle5.3
ceci afin d'éviter d'avoir une normalisation négative
.
.
.
.
.
.
.
.
.
.
.
.
.
.
.
.
.
.
.
.
.
.
.
.
.
.
.
.
.
.